Taylors teorem#
TMA4400 Matematikk 1: Kalkulus og lineær algebra
Dato: 06. oktober 2025
Taylors teorem er gitt som:
Teorem. Anta at \(f(x)\) og dens deriverte av orden \(k\in\{1,2,\ldots,n+1\}\), \(f^{(k)}(x)\), er kontinuerlige på et åpent intervall \(I\) om punktet \(x=x_0\). Da er
\[
f(x)=f(x_0)+f'(x_0)(x-x_0)+\frac{f''(x_0)}{2!}(x-x_0)^2+\cdots+\frac{f^{(n)}(x_0)}{n!}(x-x_0)^n+R_n(x),\qquad \text{for alle $x\in I$},
\]
hvor
\[
R_n(x)=\frac{f^{(n+1)}(c)}{(n+1)!}(x-x_0)^{n+1}, \qquad \text{for en $c$ mellom $x$ og $x_0$.}
\]
La oss sjekke Taylors teorem geometrisk. For å gjøre dette implementerer vi litt python-kode.
Eksempel#
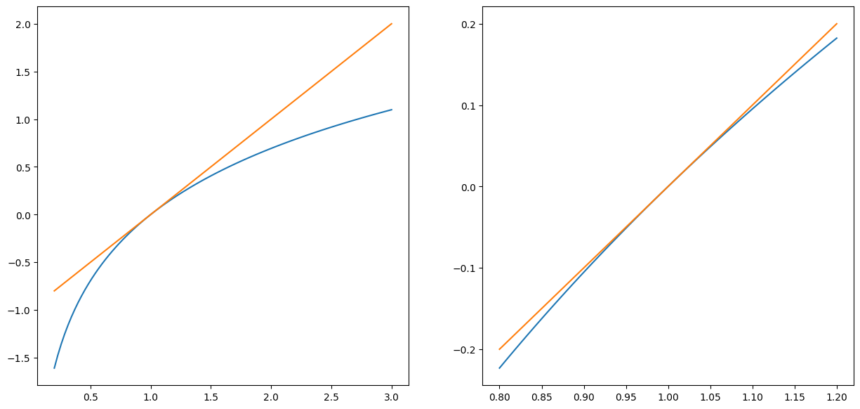
Finn en lineær tilnærming til \(f(x)=\log(x)\) om punktet \(x=1\).
Vi har at \(\log(1)=0\), \(f'(x) = \frac{1}{x}\) og \(f'(1)=1\).
Den linære tilnærmingen av \(\log(x)\) om punktet \(x=1\) blir altså
\[
\log(x) \approx x-1.
\]
import numpy as np
import matplotlib.pyplot as plt
# 100 punkter mellom 0.2 og 3, for grafene til venstre
x = np.linspace(0.2,3,100)
# 100 punkter mellom 0.8 og 1.2, for grafene til høyre
y = np.linspace(0.8,1.2,100)
# log(x) på punktene mellom 0.2 og 3
f = np.log(x)
# log(y) på punktene mellom 0.8 og 1.2
g = np.log(y)
# lager figuren
fig, (ax1, ax2) = plt.subplots(1,2, figsize=(15,7))
# plottene til venstre, 0.2<x<3
# plotter y=log(x) i blå
ax1.plot(x,f)
# plotter y=x-1 i oransje
ax1.plot(x,x-1)
# plottene til høyre, 0.8<x<1.2
# plotter y=log(x) i blå
ax2.plot(y,g)
# plotter y=x-1 i oransje
ax2.plot(y,y-1)
[<matplotlib.lines.Line2D at 0x7f44b3194350>]

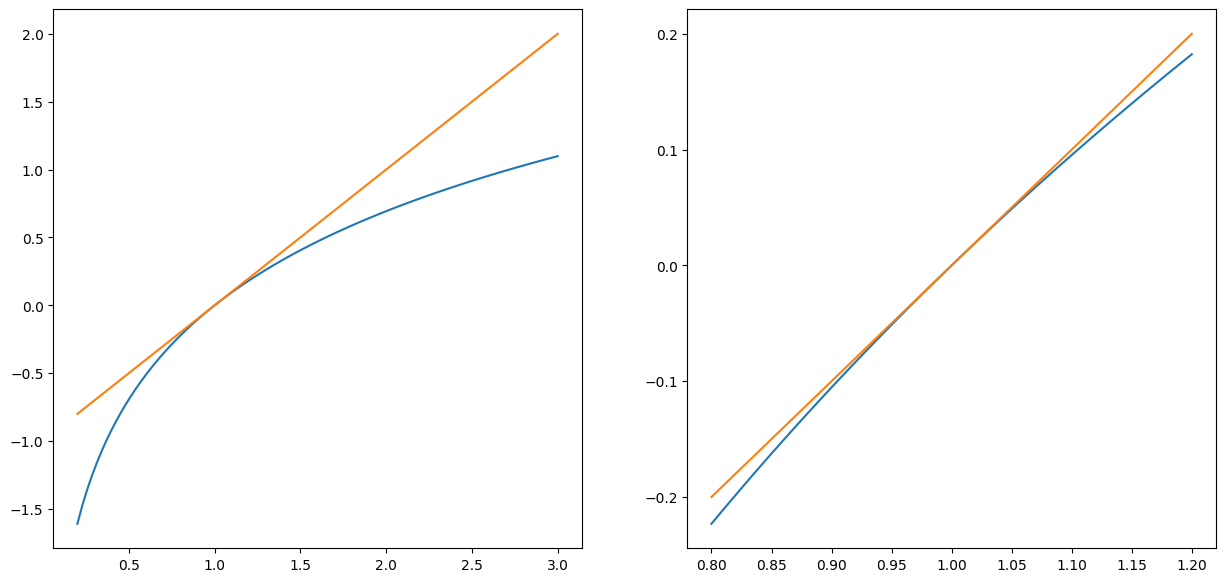
Eksempel#
La oss fortsette med \(f(x)=\log(x)\) om punktet \(x=1\).
Vi har \(f''(x) = -x^{-2}\), slik at \(f''(1)=-1\). Vi får derfor at
\[
\log(x) \approx (x-1) - \frac{1}{2}(x-1)^2.
\]
# 100 punkter mellom 0.2 og 3, for grafene til venstre
x = np.linspace(0.2,3,100)
# 100 punkter mellom 0.7 og 1.3, for grafene til høyre
y = np.linspace(0.7,1.3,100)
# log(x) på punktene mellom 0.2 og 3
f = np.log(x)
# log(y) på punktene mellom 0.7 og 1.3
g = np.log(y)
# andreordens taylor tilnærming mellom 0.2 og 3
f2 = (x-1) - 0.5*(x-1)**2
# andreordens taylor tilnærming mellom 0.7 og 1.3
g2 = (y-1) - 0.5*(y-1)**2
# Lag figuren
fig, (ax1, ax2) = plt.subplots(1,2, figsize=(15,7))
# til venstre, 0.2<x<3
# log(x) i blå
ax1.plot(x,f)
# andreordens taylor i oransje
ax1.plot(x,f2)
# til høyre, 0.7<x<1.3
# log(x) i blå
ax2.plot(y,g)
# andreordens taylor i oransje
ax2.plot(y,g2)
[<matplotlib.lines.Line2D at 0x7f44b0baefd0>]
